1. まえがき
溶接学会(以下,本会という)の発行する定期刊行物の論文およびその資料等の原稿は,この投稿規定および執筆要領によって執筆する.ここに,定期刊行物とは,溶接学会誌,溶接学会論文集,Welding Letters (WL)をいう.なお,上記以外(例えば,全国大会講演概要集など)の原稿執筆もこれに準じる.
2. 投稿規定(通則)
2.1 投稿資格
2.2 著作権
(2)著作権の許諾:本会が所有する著作権を利用する場合には,本会の許諾を必要とする.ただし,著作者が自身の用途のために自分の著作物を複製,翻訳,翻案などの形で利用する権利は著作者に帰属する.なお,その利用に際してはその著作物が本会刊行物に掲載されたものであることを明記しなければならない.また,全部,または,かなりの部分を複製の形で他の著作物に利用する場合,あるいは著作者以外の他者に利用させる場合には,原則として事前に本会に文書により許諾を求めなければならない.
(3)著作者の責任:本会刊行物に掲載された個々の著作物については当該著作者自身が責任を負うものとし,当該著作物について他の著作権の侵害,名誉毀損,または,その他の紛争が生じ,それによって本会に損害が生じた場合には,本会に対し当該損害を補填するものとする.
(4)第三者への利用許諾:第三者から,著作物に関する利用許諾の要請があり,本会が必要と認めた場合は,許諾することができる.
(5)電子化・インターネット公開:本会刊行物に掲載された記事・論文などの電子化・インターネット公開に際しても,上記 (1)から (4)項に準拠する.
2.3 投稿原稿の種類
溶接学会論文集におけるExpress投稿とは,「原稿受領通知書」の著者への送付日から14日以内に,査読結果を著者に通知するものである.Express投稿は,全国大会での優秀な発表に対して与えられるExpress無料投稿券を用いる場合と,所定の掲載料(通常投稿の約1.5倍)を納める場合がある.
2.4 単位
2.5 キーワード
(2)論文集,Welding Lettersには英語,会誌には日本語のキーワードを使用する.
(3)査読によって修正・削除・追加などを指示されることがある.
2.6 原稿の長さ
(2)溶接学会論文集(Welding Letters)への投稿原稿の長さは2〜4頁とする.
(3)刊行物に掲載された結果による頁数に応じて,規定の掲載料を納めなければならない.ただし,依頼原稿はこの限りでない.
2.7 提出物とその部数
(1)溶接学会誌
(イ)印刷原稿:用紙にプリントアウトした原稿.原稿(図,表,写真を含む)は,3章に示す溶接学会誌執筆要領に従った構成で提出しなければならない.
(ロ)電子情報:印刷原稿に加え,電子情報を提出すること.なお,電子情報のフォーマットは任意でよい.ただし,Windows/Macintosh等の区別や作成ソフトウエア名を明記すること(提出メディアは表2.1を参照).
どちらにも表紙を添付する. 表紙は本会所定のもの(http://jweld.jp/journal/download.doc),あるいは,それと同じ形式にコンピュータ等で仕上げたものを添付する.
(2)溶接学会論文集(通常投稿・Express投稿)
(イ)投稿時の提出物:電子査読システムを用いるため,原稿(英文概要,本文,図表説明,図,表,写真)の電子情報を任意のファイル名で一つにまとめる.なお,電子情報のフォーマットは,4章以下に示す溶接学会論文集執筆要領に従った構成で,ファイル形式をpdfとし,ファイル容量を1.4MB以内とする.これを論文投稿システムに投稿する.アップロードした投稿論文の表紙は,Web投稿時に自動作成される.印刷物は不要.
論文投稿システム(会員マイページ経由):https://member.jweld.jp/mypage/
(ロ)掲載可となった後の提出物
印刷原稿:用紙にプリントアウトした原稿.原稿(表紙,図,表,写真および書誌情報を含む)は,4章以下に示す溶接学会論文集執筆要領に従った構成で,1部を提出しなければならない.
電子情報:印刷原稿に加え,電子情報(組版印刷用)を提出すること.なお,電子情報のフォーマットは4章以下にある.メディアは表2.1を参照のこと.ただし,Windows/Macintosh等の区別や作成ソフトウエア名を明記すること
(3)溶接学会論文集(Welding Letters (WL) )
(イ)投稿時の提出物:電子査読システムを用いるため,原稿(Welding Letters所定テンプレートで作成した原稿)の電子情報を任意のファイル名で一つにまとめる.なお,電子情報のフォーマットは,5章以下に示すWelding Letters原稿執筆要領に従った構成で,ファイル形式をpdfとし,ファイル容量を1.4MB以内とする.これを論文投稿システムに投稿する.アップロードした投稿論文の表紙は,Web投稿時に自動作成される.印刷物は不要.
WL論文投稿システム:http://jweld.jp/paperjudge/wlsubmit/wlsubmit.php
WLテンプレート:http://jweld.jp/kitei/welding-letters-template.docx
(ロ)掲載可となった後の提出物
印刷原稿:用紙にプリントアウトした原稿.原稿(表紙,Welding Letters所定テンプレートで作成した原稿,J-STAGE対応書誌情報)は,5.4以下に示すWelding Letters原稿執筆要領に従った構成で所定のテンプレート(学会ホームページよりダウンロード可)を用いて執筆したものに限り,1部を提出しなければならない.
電子情報:印刷原稿に加え,電子情報(組版印刷用)を提出すること.なお,電子情報のフォーマットは5章以下にある.メディアは表2.1参照のこと.ただし,Windows/Macintosh等の区別や作成ソフトウエア名を明記すること
| 提出物 | 溶接学会誌 | 溶接学会論文集 | ||
|---|---|---|---|---|
印 |
内容 |
表紙,本文, 図表説明文,図,表,写真 |
表紙,英文概要,本文,図表説明文, |
|
提出 |
正1部 |
正1部(掲載可となった後) |
||
電 子 情 報 |
内容 |
本文,図表説明文,図,表, 写真ファイル |
表紙,英文概要,本文,図表説明文,図,表, |
|
形式 |
1)テキスト情報:任意 |
論 |
原稿(英文概要,本文,図表説明,図,表,写真,J-STAGE対応書誌情報)をpdf形式の1つのファイルにまとめる. |
|
組 版 印 刷 用 |
1)テキスト情報:任意(Microsoft Word,Adobe PageMaker推奨) 2)図表写真の画像情報:EPS, TIFF, JPEG, GIF, PNG, PICT, BitMapのいずれか 3)J-STAGE対応書誌情報:テキストファイル ※ファイル名の命名方法は下記参照のこと |
|||
提出 |
メディア1枚 推奨メディア: CD, DVD |
メディア1枚 推奨メディア: CD, DVD |
||
|
溶接学会論文集(組版印刷用)/溶接学会誌 |
|
| 文章/テキスト |
本文:"text.*"
英文概要:"abstract.*" 図表説明文:"caption.*" |
図と表(元画像) |
図:"fig-1.*", "fig-2.*", ..... |
J-STAGE対応 |
jstage.txt"(テキストファイル) [溶接学会誌では不要] |
なお,元画像のファイルに関しては,作成アプリケーション固有形式の保存ファイル(バイナリーファイル)は不要
2.8 受付日
2.9 査読
論文原稿におけるExpress投稿の場合,査読(複数回を含む)に要する総期間は,「原稿受領通知書」の著者への送付日より「登載可」判定日までの14日間以内である.ただし,土日・祝日,盆・年末年始,及び著者の修正期間を除く.
2.10 採否
2.11 原稿の責任
2.12 別刷
2.13 原稿の提出先
一般社団法人溶接学会
(論文は)論文査読・審査委員会
(その他は)編集委員会
電話:03-5825-4073
FAX:03-5825-4331
E-mail:jws-ym@kt.rim.or.jp
3. 溶接学会誌(略:会誌) (Journal of The Japan Welding Society)
3.1 発行・内容
(2)会誌の記事は,広く溶接・接合工学,技術および工業に役立つ情報を本会会員に提供するとともに,会員間の意志の疎通および相互の啓発を図ることを目的とする.
3.2 投稿できる記事の種類
(2)講義,解説,講座:既に確立された工学的手法,技術または基礎的原理,現象について客観的にまとめ,平易に記述または解説した資料.
(3)展望:溶接・接合工学,工業およびそれに関連したそれぞれの分野における最近の進歩と傾向,ならびに将来の予想などを広範囲な資料に基づき,公正な立場で記述した資料.
(4)会員間の情報伝達.相互交流に関する記事:会告,会報,委員会活動報告,関連学協会活動報告などの情報伝達のための記述.
(5)新技術・新製品の紹介(賛助員の欄):賛助員各社の新技術・新製品の紹介を主とし,会員が技術的関心をもつ内容のもの.これに関する投稿規定および執筆要領は別途定める.
(6)その他:そのほか編集委員会が適当と認めたもの.
3.3 原稿の構成
(イ)表紙:本会所定のもの,あるいは,それと同じ形式にコンピュータ等で仕上げたものを添付する.
(ロ)本文:A4用紙を使用して印字する.
(ハ)図(写真を含む),表の説明文:和文とし,一括して本文末尾に添付する.
(ニ)表:明瞭なプリントアウト.
(ホ)図:十分な解像度を有する明瞭なプリントアウト.縮尺を明記のこと.
(ヘ)写真:十分な解像度を有する明瞭なプリントアウト,縮尺を明記のこと.
(2)図,写真,表に用いる文字は日本語または英語とする.ただし,同一原稿ではどちらかに統一する.
3.4 著者校正
(2)初校は誤植のみに限り,一切の加筆,減筆は認めない.
部数 |
表紙付き 本文4頁まで |
表紙付き 本文6頁まで |
表紙付き 本文8頁まで |
表紙付き 本文10頁まで |
表紙付き 本文12頁まで |
以降2頁単位 |
50部 |
10,044円 (本体価格 9,300円) |
14,040円 (本体価格 13,000円) |
16,200円 (本体価格 15,000円) |
21,600円 (本体価格 20,000円) |
24,624円 (本体価格 22,800円) |
以降2頁当り 3,024円増し (本体価格 2,800円) |
100部 |
14,040円 (本体価格 13,000円) |
16,200円 (本体価格 15,000円) |
21,600円 (本体価格 20,000円) |
24,840円 (本体価格 23,000円) |
27,864円 (本体価格 25,800円) |
以降2頁当り 3,024円増し (本体価格 2,800円) |
150部 |
16,200円 (本体価格 15,000円) |
21,600円 (本体価格 20,000円) |
24,840円 (本体価格 23,000円) |
27,000円 (本体価格 25,000円) |
30,240円 (本体価格 28,000円) |
以降2頁当り 3,240円増し (本体価格 3,000円) |
200部 |
21,600円 (本体価格 20,000円) |
24,840円 (本体価格 23,000円) |
27,000円 (本体価格 25,000円) |
30,240円 (本体価格 28,000円) |
33,480円 (本体価格 31,000円) |
以降2頁当り 3,240円増し (本体価格 3,000円) |
250部 |
24,840円 (本体価格 23,000円) |
27,000円 (本体価格 25,000円) |
30,240円 (本体価格 28,000円) |
33,480円 (本体価格 31,000円) |
36,720円 (本体価格 34,000円) |
以降2頁当り 3,672円増し (本体価格 3,400円) |
以降 50部単位 |
以降50部当り 2,916円 |
以降50部当り 3,240円 |
以降50部当り 3,240円 |
以降50部当り 3,240円 |
以降50部当り 3,240円 |
以降2頁当り 3,672円増し (本体価格 3,400円) |
(送料および消費税8%含む)
4. 溶接学会論文集(略:論文集) (Quarterly Journal of The Japan Welding Society)
4.1 発行内容
(2)論文は,基礎・基盤分野の論文,および開発・実用分野の論文とする.
(イ)基礎・基盤分野の論文の性格は,基礎的,基盤的な研究に関する論文とする.その内容は,当学会の活動分野において価値有るものであり,独創的かつ完成度の高いものでなければならない.
(ロ)開発・実用分野の論文の性格は,開発的な研究や新規技術分野で萌芽した研究に関する論文とする.その内容は当学会の従来の活動分野および新たに取り込まれた活動分野において開発された技術や芽の出はじめた技術などについて,価値あるものとする.
(3)論文集に投稿される論文は,本会主催の学術講演会(全国大会,研究委員会,全国大会シンポジウム・フォーラム基調講演,研究委員会主催シンポジウム,支部講演会,プロシーディング[論文集]を刊行しない国際シンポジウム)で前もって研究発表講演を行ったものであることが望ましい.
(4)連続報の論文は認めない.ただし,副題を付け論文の大きなテーマや主題などを示すことができる.
4.2 使用言語
4.3 原著について
(2)本会に投稿後に,他の刊行物へ投稿することは差し支えない.未投稿の判定は原稿受付日により,受付日が同日または本会より早い場合は「他誌への既投稿」とみなし,原稿は返却する.
(3)「他誌への未投稿」の確認は著者が全ての責任を有す.なお,「未投稿の確認」に違反することが本会において確認された場合は,原稿は返却される.また,論文掲載後に確認された場合は,論文無効の処置を行う.
〔例外規定〕
(イ)既投稿であっても投稿内容が速報的抄録のものは「他誌への未投稿」として受け付ける.
(ロ)本会の研究委員会において刊行された報告書または資料集に掲載された内容を,刊行後にその著者が投稿する場合は「他誌への未投稿」として受け付ける.
(ハ)学位審査請求のために提出された論文を公聴会にて発表した後に投稿する場合は,「他誌への未投稿」として受け付ける.
(ニ)国際溶接学会(IIW)の各種技術委員会への提出論文は「他誌への未投稿」として受け付ける.
4.4 原稿の構成
(イ))表紙:電子査読システムを用いるため,アップロードした投稿論文の表紙はWeb投稿時に自動作成される.
(ロ)英文概要:和文・英文論文を問わず,300語以内の英文概要を添付する.
(ハ)本文:A4用紙を縦に使用し,上下左右に十分な余白を設け,行間に余裕をもたせて見やすく作成する.なお,溶接学会のシンポジウムや研究委員会などの論文で本投稿規定に従って作成されたものは,それをもって投稿原稿の本文にかえることができる.
(ニ)図(写真を含む),表の説明文:和文・英文論文を問わず,英文とし,一括して本文末尾に添付する.
(ホ)表:明瞭なプリントアウト.
(ヘ)図:十分な解像度を有する明瞭なプリントアウト.縮尺を明記のこと.
(ト)写真:十分な解像度を有する明瞭なプリントアウト.縮尺を記入のこと
(チ)図,表,写真(元画像)の電子情報がある場合には,そのファイル(形式:EPS,TIFF,JPEG,GIF,PNG, PICT, BitMapのいずれか)も添付すること(なお,画像に網掛け,トーン濃淡やカラーを使用することは好ましくない.画像ファイルは十分な解像度を有すること.画像の推奨解像度は刷り上がりサイズで600dpi以上である).
(リ)J-STAGE対応書誌情報:必要事項をテキストファイルとして添付すること(8章参照のこと).
(2)図,写真,表に用いる文字は,和文・英文論文を問わず,英語とする.
4.5 論文提出期日
4.6 著者校正
4.7 溶接学会論文集(WEB発行)掲載料
| 頁数 | 掲載料 (和文,英文とも) | |
|---|---|---|
| 通常投稿 | Express投稿 | |
| 5まで | 54,000円 (本体価格 50,000円) | 81,000円 (本体価格 75,000円) |
| 6 | 64,800円 (本体価格 60,000円) | 97,200円 (本体価格 90,000円) |
| 7 | 81,000円 (本体価格 75,000円) | 121,500円 (本体価格 112,500円) |
| 以降 | 1頁毎に16,200円 (本体価格15,000円)加算 | 1頁毎に24,300円 (本体価格22,500円)加算 |
4.8 溶接学会論文集(WEB発行)別刷料
部数 |
表紙付き 本文6頁まで |
表紙付き 本文8頁まで |
表紙付き 本文10頁まで |
表紙付き 本文12頁まで |
以降2頁単位 |
50部 |
8,100円 (本体価格 7,500円) |
9,180円 (本体価格 8,500円) |
10,260円 (本体価格 9,500円) |
11,340円 (本体価格 10,500円) |
1,080円増し (本体価格 1,000円) |
100部 |
12,420円 (本体価格 11,500円) |
14,580円 (本体価格 13,500円) |
16,740円 (本体価格 15,500円) |
18,900円 (本体価格 17,500円) |
2,160円増し (本体価格 2,000円) |
150部 |
17,280円 (本体価格 16,000円) |
20,520円 (本体価格 19,000円) |
23,760円 (本体価格 22,000円) |
27,000円 (本体価格 25,000円) |
3,240円増し (本体価格 3,000円) |
200部 |
22,140円 (本体価格 20,500円) |
26,460円 (本体価格 24,500円) |
30,780円 (本体価格 28,500円) |
35,100円 (本体価格 32,500円) |
4,320円増し (本体価格 4,000円) |
250部 |
26,460円 (本体価格 24,500円) |
31,860円 (本体価格 29,500円) |
37,260円 (本体価格 34,500円) |
42,660円 (本体価格 39,500円) |
5,349円増し (本体価格 4,953円) |
以降50部単位 |
4,320円増し (本体価格 4,000円) |
5,400円増し (本体価格 5,000円) |
6,480円増し (本体価格 6,000円) |
7,560円増し (本体価格 7,000円) |
8,228円増し (本体価格 7,619円) |
(送料および消費税8%含む)
5. Welding Letters of The Japan Welding Society (略:WL)
5.1 発行内容
(2)WLは,基礎・基盤分野,および開発・実用分野で価値のある論文であり,速報性の高いものが望ましい.
(イ)基礎・基盤分野の論文の性格は,基礎的,基盤的な研究に関する論文とする.その内容は,当学会の活動分野において価値有るものであり,独創的の高いものでなければならない.
(ロ)開発・実用分野の論文の性格は,開発的な研究や新規技術分野で萌芽した研究に関する論文とする.その内容は,当学会の従来の活動分野および新たに取り込まれた活動分野において開発された技術や芽の出はじめた技術などでなければならない.
(3)WLに投稿される論文は,本会主催の学術講演会(全国大会,研究委員会,全国大会シンポジウム・フォーラム基調講演,研究委員会主催シンポジウム,支部講演会,プロシーディング[論文集]を刊行しない国際シンポジウム)で前もって研究発表講演を行ったものであることが望ましい.
(4)連続報の論文は認めない.ただし,副題を付け論文の大きなテーマや主題などを示すことができる.
5.2 使用言語
5.3 原著について
(2)本会に投稿後に,他の刊行物へ投稿することは差し支えない.未投稿の判定は原稿受付日により,受付日が同日または本会より早い場合は「他誌への既投稿」とみなし,原稿は返却する.
(3)「他誌への未投稿」の確認は著者が全ての責任を有す.なお,「未投稿の確認」に違反することが本会において確認された場合は,原稿は返却される.また,論文掲載後に確認された場合は,論文無効の措置を行う.
〔例外規定〕
(イ)本会の研究委員会において刊行された報告書または資料集に掲載された内容を,刊行後にその著者が投稿する場合は「他誌への未投稿」として受け付ける.
(ロ)学位審査請求のために提出された論文を公聴会にて発表した後に投稿する場合は,「他誌への未投稿」として受け付ける.
(ハ)国際溶接学会(IIW)の各種技術委員会への提出論文は「他誌への未投稿」として受け付ける.
(ニ)WLへの掲載後,その内容をさらに発展させることにより,溶接学会論文集へ投稿することが出来る.その際には,新たに投稿する溶接学会論文集原稿に,既掲載のWLに内容の一部が発表済みであることを明記する.
5.4 原稿執筆要領
(イ)論文原稿:所定のMS-Wordテンプレート(学会ホームページよりダウンロード可)を用いて執筆したものに限る.
(ロ)J-STAGE対応書誌情報:必要事項をテキストファイルとして添付すること(8章参照のこと).
(2)概要:200語以内の概要を記載する.
(3)原稿の長さ:2〜4頁.
(4)投稿原稿の英語について必ずネイティブチェックを受けること.ネイティブチェックは個人の責任とし,翻訳業者に依頼することが望ましい.
WLテンプレート:http://jweld.jp/kitei/welding-letters-template.docx
5.5 著者校正
5.6 溶接学会Welding Letters(WEB発行)掲載料
| 頁数 | 2 | 3 | 4 |
|---|---|---|---|
| 掲載料 | 37,800円 (本体価格35,000円) |
43,200円 (本体価格40,000円) |
48,600円 (本体価格45,000円) |
(別刷料金は表4.2参照のこと)
6. 和文原稿執筆要領
6.1 一般的注意
論文の表題は簡単で内容を明確に表わすものでなければいけない.したがって,非常に一般的な表題は避けるべきである.関連ある幾つかの論文を発表する場合は,各論文ごとにその内容を具体的に示す表題を挙げ,大きい内容を示す同じ表題は副題とする.
(例)固相接合面近傍における結晶粒挙動の高温観察
-固相接合に関する研究-
なお,副題には,第1報,第2報,…などの順序を示す番号は入れない.
(2)著者名,所属機関名
著者名の英語表記は次の例のように書く.
(例)by TANAKA Ichiro
所属機関名は論文を投稿したときの所属ではなく,研究を行った所属機関名を書く,投稿時にそこに属していないときは,原稿表紙の所属機関名の中に( )して現在の所属を書く.
(例)〇〇大学工学部(現在〇〇〇〇株式会社)
Faculty of Engineering, 〇〇University
(Present Address: 〇〇〇〇Co., Ltd.)
(3)英文概要(300 語以内)
(イ)論文の目的,方法,重要な結果などを簡潔明確に表すようにする.本文を参照しなくても,それだけで理解できるように書くべきで,表,図,式などを本文中の番号で引用してはならない.
(ロ)概要は論文を第三人称で書いた要旨であるから,一人称の代名詞は用いず,著者の立場を強調したり,著者の主観的評価(It is very interesting that……など)は書くべきでない.
(4)キーワード
英文概要の後に5〜10語の英語のキーワードをつける.
(5)本文
(イ)論文内容は緒言,実験方法,実験結果,考察,結論,謝辞,参考文献の順序で書くのが望ましい.内容によって別の章(理論,付録など)を設けてもよい.記述は簡潔で分かりやすくする.
(ロ)大きい見出しは1, 2, 3,……のようにし,小さい見出しは1.1, 1.2, 1.3……および1.1.1, 1.1.2……のようにする.
(ハ)緒言は研究の目的,従来の研究との関連,研究の概要を述べる.結論で述べることを強調したりすることや,英文概要と重複しないように注意すること.
(ニ)主部(実験方法から考察まで)は論旨の筋道が明確か,強調したい点がはっきり読みとれるかなどに注意する必要がある.
(ホ)結論は論文のまとめであって,できるだけ明瞭にかつ簡潔に得られた結果を述べる.
(ヘ)図,写真,表,脚注,参考文献の書き方は,6.3, 6.4, 6.5 を参照のこと.
6.2 用字および用語
文章は口語体とし,常用漢字,新仮名使いによる漢字混じりの平仮名書きを原則とする.なお,外来語は片仮名書きとする.
(2)字体
日本文字は楷書,欧文字は活字体またはタイプ印書とする.
(3)欧文字
外国の人名,書籍などの固有名詞は欧文書きとするが,一般化されている外国語はすべて片仮名書きとする.
(4)用語
本会編「溶接学会用語事典」,「溶接・接合用語集」およびJISによる.
(5)数字
数を表すものはアラビア数字を用い,言葉になっているもの,または,名称として制定されているものは漢字を使用する.
| (例) 可 | 不可 |
| 一つ二つ | 1つ2つ |
| 一,二の例 | 1, 2の例 |
| 一例を挙げる | 1例を挙げる |
| 数百例 | 数100 例 |
本年,昨年などは使わない.すべて平成〇〇年,または,200〇年とする.
(7)文字,記号の指定
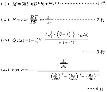
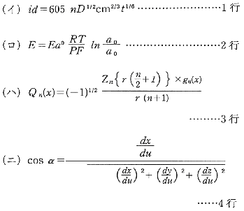
混同されやすい文字およびギリシャ文字は次のように赤で指定することが望ましい.

文中の活字書体の指定は下記の例による.
(例)太字(ゴシック)Model ,または,ゴ
斜体(イタリック)Model ,または,イタ
太字斜体 Model ,または,ゴイタ
ただし,数式中の物理量を表す文字は特に指示のない限りイタリック体で組まれる.
(9)数式
文中ではa/b, ab-1, x/(x+t/2)などのように1行とする.2行になる場合は別行にする.
(10)量記号および単位記号
SI 単位を原則として用いる(JIS Z 8203).ただし,やむをえず従来単位を用いる必要のある場合,SI単位を併記する.
6.3 図,写真,表
(2)図(写真も含める)および表は1枚ごとに別紙にして,それぞれにFig. 1,Fig. 2…, Table 1, Table 2,……と通し番号を付ける.Photo.〇は用いず,Fig.〇に統一する.ただし,会誌の場合はFig.またはTableの代わりに図または表とする(図○,表○).
(3)図(写真),表の説明文(キャプション)は一括して本文末尾に付ける.論文の場合には,図,写真,表中の文字および説明文は英語とする.会誌の場合には,図,写真,表中の文字は日本語,または,英語のいずれでもよいが,同一原稿内ではどちらかに統一すること,また,会誌の図(写真),表の説明文は日本語とする.
(4)図は明瞭にプリントアウトしたものとする.画像に網掛け,トーン濃淡や彩色は施さない.
(5)写真は十分な解像度でプリントアウトしたものとする.
(6)縮尺は図,表および写真とも縮尺しても明瞭になるよう文字や線の太さに注意する.刷り上がりの大きさ(横幅)は170mm(頁サイズ),80mm(コラムサイズ)が標準であるので,原図は原寸大,もしくは刷り上がりの2倍あるいは3倍大に書くこと.拡大した原図とした場合,文字の大きさは刷り上がりが標準2.5mmになるように考慮すること.実際に刷り上がり時の大きさに縮尺してみて,文字大きさなどが適当であるかを確認することが望ましい.なお,画像の推奨解像度は刷り上がりサイズで600dpi以上である.
(7)図,写真,表の入箇所は原稿用紙の右欄に明記する.また,縮尺は図,写真の余白に明記する.
(8)縮尺の書き方は,例えば,×45/100(分母は必ず100とする)のように示す.×2/3とか5cmなどは不可.
(9)図,写真,表とも拡大した原図とする場合,最大210mm×300mm(A4版)以内の大きさにする.
6.4 脚注
6.5 参考文献
[例]
(1)溶接学会論文集の例 ※著者名は原則としてはオリジナル文献の表記に従うものとする.
(雑誌)
1) K. Shinozaki,Y. Nakao and H. Kuroki: Bonding Phenomena and Mechanical Properties of TLPbonding Joint of Fe-base ODS Alloy, MA 956,
Quarterly Journal of The Japan Welding Society, 14-1 (1996), 129-136. (in Japanese)
2) G. E. Metzger: Hot Pressure Welding of Aluminium Alloys, Welding Journal, 57-1 (1978), 37-43.
(単行本)
3) H. Kaneko:金属熱処理原論,Maruzen(1971), 131. (in Japanese)
4) K. Masubuchi: Analysis of Welded Structures, Pergamon Press (1980), 189.
(2)溶接学会誌の例
(雑誌)
1) 篠崎,中尾,黒木:鉄基酸化物分散強化合金MA956の液相拡散接合現象と接合継手特性,溶接学会論文集,14-1 (1996), 129-136.
2) G. E. Metzger: Hot Pressure Welding of Aluminium Alloys, Welding Journal, 57-1 (1978), 37-43.
(単行本)
3) 金子:金属熱処理原論,丸善(1971), 131.
4) K. Masubuchi: Analysis of Welded Structures, Pergamon Press (1980), 189.
6.6 ページ数算定の基準
(1)本文
刷り上がり1頁の字数は論文集では26字×54行×2段=2808字,学会誌では25字×48行×2段=2400字.
(2)図,写真……刷り上り天地10cmをもって本文の21行に数える.
(3)数式……次の割合で換算する.

7. 英文原稿執筆要領
7.1 原稿の体裁
(1)用紙
A4版用紙を使用する.
(2)表題,著者,概要,キーワード
表題,著者名および所属,概要,キーワードは第1頁に書く.
(イ)表題は簡潔に表し,第1頁の上段3行目から書く.表題は名詞,形容詞,副詞,動詞,代名詞の最初の文字を大文字で書き,他は小文字で書く.
(ロ)著者名は次の例のように書く.
(例)by TANAKA Ichiro
また,勤務先および所在地は著者の右肩に*)を付し,第1頁の最下段に書く.
(ハ)概要は300語以内に書く.
(ニ)5〜10語のキーワードを概要の後につける.
(ホ)表題を更に簡潔にしたヘディングを朱書する.ヘディングの長さは,50文字以内とし,第1頁の上部に朱書する.
(3)本文
(イ)形式
本文は1頁60ストローク×24行とし,左揃えでタイプ書きとする.コンピュータ等にて作成する場合には,これに準拠すること.本文は第2頁から始める.
(ロ)文字,記号,書体の指定
混同されやすい文字およびギリシャ文字は次のように赤で指定することが望ましい.

文中の活字書体の指定は下記の例による.
(例)太字(ゴシック)Model,または,ゴ
斜体(イタリック)Model,または,イタ
太字斜体 Model,または,ゴイタ
ただし,数式中の物理量を表す文字は特に指示のない限りイタリック体で組まれる.
(ハ)単位
SI 単位を原則として用いる(JIS Z 8203).ただし,やむをえず従来単位を用いる必要のある場合は,SI 単位に併記する.
(ニ)脚注
脚注は本文中に*),**)もしくはa),b)と表示し説明は別紙にまとめて書く.
(ホ)引用文献は本文中に1),2),……と表示し,出典は本文の終わりにまとめて記載する.書き方は次のとおり.
雑誌の場合 著者名,題目,誌名,巻号(年),頁の順
単行本の場合 著者名,書名,発行所名,発行年,引用頁の順
日本語文献引用の場合は末尾に(in Japanese)と記す.
(ヘ)図,写真の説明は番号順に別紙にまとめて書く.
7.2 ページ数算定の基準
(1)本文
刷り上り1頁の標準語数は890語,A4ダブルスペース(24行)の原稿は1頁約288語.
(2)表,図,写真および数式
表……行数はすべて本文と同じく数える.
図,写真……刷り上り天地10cmをもって本文の21行に数える.
数式……次の割合で換算する.

8. J-STAGE対応書誌情報執筆要領
8.1 書誌情報の内容
表題(論文名),著者名・所属,英文概要,キーワード,参考文献の順序でテキスト形式で記載する
8.2 提出形式および部数
書誌情報はテキストファイルにして電子情報として提出すること(推奨メディアおよびファイル名は2章参照のこと).なお,これをプリントアウトした原稿1部を添付することが望ましい.
9. 新技術新製品紹介欄投稿規定
9.1 投稿資格
記事の投稿者は賛助員に限る.
9.2 原稿の内容
記事は溶接技術に関連する比較的最近開発された技術・製品の技術的原理や特色を中心に記述し,技術的情報を客観的に提供できる内容を有しなければならない.
9.3 原稿の構成
9.4 原稿の長さ
(1)記事は刷り上がり0.5 頁または1頁のいずれかとする.
(2)頁数は著者の予定でなく,印刷された結果によって編集委員会が判定するものとする.
9.5 提出部数
原稿(図,表,写真を含む)は1部とする.Windows/Macintosh等の区別および作成ソフトウエア名を明記し,メディアとそれをプリントアウトした原稿を添付することが望ましい.ファイル名は2章に準拠して命名する.
9.6 原稿執筆要領
(1)原稿はA4用紙を使用する.
(2)原稿は刷り上がり1頁2400字,標題以外すべて9ポイント活字を基準として使用するものとする.ただし標題の部分と図,表,写真が添付されるときは,その分字数は減少する.
(3)原稿は原則として日本語とする.また,文章は口語体により記述すること.
(4)頁数の超過をしてはならないので,執筆に際しては十分に注意すること(頁数の算定基準は6.6 参照のこと).
(5)簡潔な標題(適切なキャッチフレーズ)を付けること.
(6)図,写真および表(そのまま製版可能なもの)には縮尺を明示すること.カラー写真,色刷りの図面等は使用できないので注意すること.
(7)記事頭初に詳細問い合わせ先として著者賛助員名,担当部課名,所在地,電話番号を記入すること.
注:ここに記載されない事項については6章の執筆要領に従うこと.
9.7 査読
原稿は編集委員会によって査読され,査読結果によって修正削除が要求されることがある.
9.8 採否
原稿の採否は査読報告に基づき編集委員会で決定する.
9.9 著者校正
初校は著者の責任において行う.著者校正は原則として初校に限る.校正は誤植のみに限り,一切の加筆,減筆は認めない.
9.10 掲載料
記事が会誌に掲載されることが決定した後,速やかに規定の掲載料を納めなければならない.
0.5 頁 |
1 頁 |
|
21,600円 (本体価格 20,000円) |
37,800円 (本体価格 35,000円) |
9.11 その他
(1)掲載された記事の内容についての責任は著者が負うものとする.
(2)著作権は本会に属するものとする.
(3)別刷は100部まで無料とする.それ以上購入を希望する場合は投稿の際に申し込み,その実費は著者が負担する.
